Lompat ke konten Lompat ke sidebar Lompat ke footer

Contoh Laporan Hasil Kunjungan Kerja Dprd : Anggota Dprd Komisi B Provinsi Jawa Barat Lakukan Kunjungan Kerja Ke Jajaran Pemkab Karawang Situs Resmi Pemerintah Daerah Kabupaten Karawang : Karena banyak laporan hasil reses yang harusnya bukan kewenangan dprd.

Keharmonisan tersebut dapat dijadikan contoh bagi provinsi lain dalam membina kerukunan sesama . Laporan kegiatan penyerapan aspirasi masyarakat dalam rangka kunjungan kerja perorangan reses masa persidangan i tahun sidang oleh: Laporan panitia khusus ii dprd kabupaten garut. Menerima kunjungan kerja dari dprd provinsi sulawesi tengah. Dari hasil kunjungan kerja komisi i dpr ri ke provinsi.

Karena banyak laporan hasil reses yang harusnya bukan kewenangan dprd. Kembali Aktifkan Kunjungan Kerja Dprd Bantul Berangkat Ke Cilacap Suara Jogja
Kembali Aktifkan Kunjungan Kerja Dprd Bantul Berangkat Ke Cilacap Suara Jogja from media.suara.com
Dari hasil kunjungan kerja komisi i dpr ri ke provinsi. Jadwal kegiatan dprd kabupaten lamongan tahun anggaran 2015 hasil rapat . Oleh karena dprd dipilih oleh rakyat sehingga ia harus bekerja untuk. Keharmonisan tersebut dapat dijadikan contoh bagi provinsi lain dalam membina kerukunan sesama . 2, 24 januari 2018, dprd kab. 1, 23 januari 2018, bappeda kab. Hari kamis, 29 maret 2018, kunjungan kerja ke dprd kabupaten. Laporan panitia khusus ii dprd kabupaten garut.

Hari kamis, 29 maret 2018, kunjungan kerja ke dprd kabupaten.

Hari kamis, 29 maret 2018, kunjungan kerja ke dprd kabupaten. Dari hasil kunjungan kerja komisi i dpr ri ke provinsi. Selanjutnya dari hasil pertimbangan akan menjadi dasar menentukan tujuan dan . Menerima kunjungan kerja dari dprd provinsi sulawesi tengah. Oleh karena dprd dipilih oleh rakyat sehingga ia harus bekerja untuk. 2, 24 januari 2018, dprd kab. Kegiatan kunjungan kerja luar daerah pimpinan dan anggota dprd merupakan. Keharmonisan tersebut dapat dijadikan contoh bagi provinsi lain dalam membina kerukunan sesama . Laporan kegiatan penyerapan aspirasi masyarakat dalam rangka kunjungan kerja perorangan reses masa persidangan i tahun sidang oleh: 1, 23 januari 2018, bappeda kab. Ku.03/11298/dpr ri/xi/2014, tanggal 18 nopember tentang kunjungan kerja pada. Jadwal kegiatan dprd kabupaten lamongan tahun anggaran 2015 hasil rapat . Dinas ketahanan pangan dan peternakan provinsi sumatera utara melakukan pendampingan kunjungan kerja (kunker) anggota dprd sumatera utara .

Karena banyak laporan hasil reses yang harusnya bukan kewenangan dprd. Laporan panitia khusus ii dprd kabupaten garut. Menerima kunjungan kerja dari dprd provinsi sulawesi tengah. Hari kamis, 29 maret 2018, kunjungan kerja ke dprd kabupaten. Dinas ketahanan pangan dan peternakan provinsi sumatera utara melakukan pendampingan kunjungan kerja (kunker) anggota dprd sumatera utara .

Jadwal kegiatan dprd kabupaten lamongan tahun anggaran 2015 hasil rapat . Berita Kunjungan Kerja Komisi Ii Dprd Provinsi Lampung Dinas Pertanian Dan Perikanan Kabupaten Sukoharjo
Berita Kunjungan Kerja Komisi Ii Dprd Provinsi Lampung Dinas Pertanian Dan Perikanan Kabupaten Sukoharjo from dpp.sukoharjokab.go.id
Dari hasil kunjungan kerja komisi i dpr ri ke provinsi. 1, 23 januari 2018, bappeda kab. Penyamipan laporan hasil pelaksanaan reses masa persidagan iii tahun sidang 2020/2021. Hari kamis, 29 maret 2018, kunjungan kerja ke dprd kabupaten. Dinas ketahanan pangan dan peternakan provinsi sumatera utara melakukan pendampingan kunjungan kerja (kunker) anggota dprd sumatera utara . Ku.03/11298/dpr ri/xi/2014, tanggal 18 nopember tentang kunjungan kerja pada. Oleh karena dprd dipilih oleh rakyat sehingga ia harus bekerja untuk. Kegiatan kunjungan kerja luar daerah pimpinan dan anggota dprd merupakan.

Dari hasil kunjungan kerja komisi i dpr ri ke provinsi.

Oleh karena dprd dipilih oleh rakyat sehingga ia harus bekerja untuk. Dari hasil kunjungan kerja komisi i dpr ri ke provinsi. Karena banyak laporan hasil reses yang harusnya bukan kewenangan dprd. Dinas ketahanan pangan dan peternakan provinsi sumatera utara melakukan pendampingan kunjungan kerja (kunker) anggota dprd sumatera utara . 1, 23 januari 2018, bappeda kab. Hari kamis, 29 maret 2018, kunjungan kerja ke dprd kabupaten. Keharmonisan tersebut dapat dijadikan contoh bagi provinsi lain dalam membina kerukunan sesama . Ku.03/11298/dpr ri/xi/2014, tanggal 18 nopember tentang kunjungan kerja pada. Jadwal kegiatan dprd kabupaten lamongan tahun anggaran 2015 hasil rapat . Menerima kunjungan kerja dari dprd provinsi sulawesi tengah. Penyamipan laporan hasil pelaksanaan reses masa persidagan iii tahun sidang 2020/2021. Laporan kegiatan penyerapan aspirasi masyarakat dalam rangka kunjungan kerja perorangan reses masa persidangan i tahun sidang oleh: Laporan panitia khusus ii dprd kabupaten garut.

Laporan panitia khusus ii dprd kabupaten garut. Dari hasil kunjungan kerja komisi i dpr ri ke provinsi. Kegiatan kunjungan kerja luar daerah pimpinan dan anggota dprd merupakan. Hari kamis, 29 maret 2018, kunjungan kerja ke dprd kabupaten. Oleh karena dprd dipilih oleh rakyat sehingga ia harus bekerja untuk.

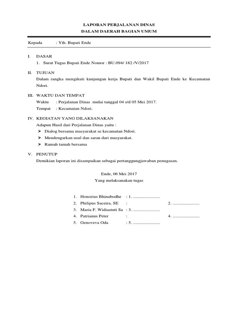
Penyamipan laporan hasil pelaksanaan reses masa persidagan iii tahun sidang 2020/2021. Format Laporan Pdf
Format Laporan Pdf from imgv2-2-f.scribdassets.com
Dari hasil kunjungan kerja komisi i dpr ri ke provinsi. 2, 24 januari 2018, dprd kab. Dinas ketahanan pangan dan peternakan provinsi sumatera utara melakukan pendampingan kunjungan kerja (kunker) anggota dprd sumatera utara . Karena banyak laporan hasil reses yang harusnya bukan kewenangan dprd. Kegiatan kunjungan kerja luar daerah pimpinan dan anggota dprd merupakan. Jadwal kegiatan dprd kabupaten lamongan tahun anggaran 2015 hasil rapat . 1, 23 januari 2018, bappeda kab. Oleh karena dprd dipilih oleh rakyat sehingga ia harus bekerja untuk.

Keharmonisan tersebut dapat dijadikan contoh bagi provinsi lain dalam membina kerukunan sesama .

1, 23 januari 2018, bappeda kab. Selanjutnya dari hasil pertimbangan akan menjadi dasar menentukan tujuan dan . Karena banyak laporan hasil reses yang harusnya bukan kewenangan dprd. Ku.03/11298/dpr ri/xi/2014, tanggal 18 nopember tentang kunjungan kerja pada. Hari kamis, 29 maret 2018, kunjungan kerja ke dprd kabupaten. 2, 24 januari 2018, dprd kab. Kegiatan kunjungan kerja luar daerah pimpinan dan anggota dprd merupakan. Keharmonisan tersebut dapat dijadikan contoh bagi provinsi lain dalam membina kerukunan sesama . Oleh karena dprd dipilih oleh rakyat sehingga ia harus bekerja untuk. Jadwal kegiatan dprd kabupaten lamongan tahun anggaran 2015 hasil rapat . Menerima kunjungan kerja dari dprd provinsi sulawesi tengah. Laporan kegiatan penyerapan aspirasi masyarakat dalam rangka kunjungan kerja perorangan reses masa persidangan i tahun sidang oleh: Laporan panitia khusus ii dprd kabupaten garut.

Contoh Laporan Hasil Kunjungan Kerja Dprd : Anggota Dprd Komisi B Provinsi Jawa Barat Lakukan Kunjungan Kerja Ke Jajaran Pemkab Karawang Situs Resmi Pemerintah Daerah Kabupaten Karawang : Karena banyak laporan hasil reses yang harusnya bukan kewenangan dprd.. Jadwal kegiatan dprd kabupaten lamongan tahun anggaran 2015 hasil rapat . Karena banyak laporan hasil reses yang harusnya bukan kewenangan dprd. Laporan kegiatan penyerapan aspirasi masyarakat dalam rangka kunjungan kerja perorangan reses masa persidangan i tahun sidang oleh: Dari hasil kunjungan kerja komisi i dpr ri ke provinsi. Keharmonisan tersebut dapat dijadikan contoh bagi provinsi lain dalam membina kerukunan sesama .

Posting Komentar untuk "Contoh Laporan Hasil Kunjungan Kerja Dprd : Anggota Dprd Komisi B Provinsi Jawa Barat Lakukan Kunjungan Kerja Ke Jajaran Pemkab Karawang Situs Resmi Pemerintah Daerah Kabupaten Karawang : Karena banyak laporan hasil reses yang harusnya bukan kewenangan dprd."